什么是羰基铑?
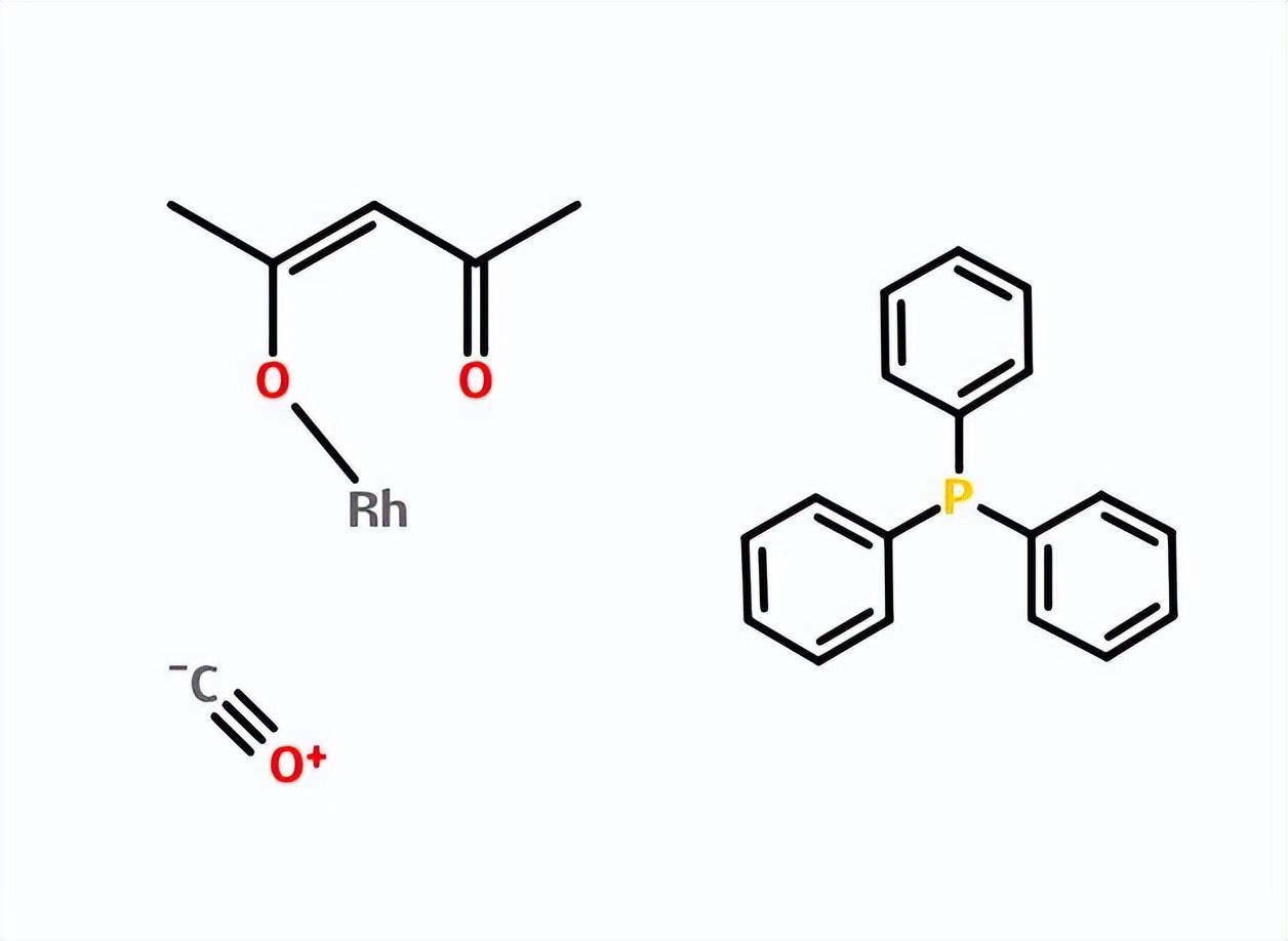
羰基铑是一种金属有机化合物,它的全名为三苯基膦乙酰丙酮羰基铑,化学式为C24H22O3PRh。它通常呈现为黄色微晶粉末,是一个重要的催化剂,广泛应用于有机合成和医药学领域。

羰基铑的回收方法
在羰基铑的生产和应用过程中,会产生大量废弃物和废水,其中含有羰基铑。为了避免对环境造成污染,并回收羰基铑的资源价值,需要采用有效的回收方法。

溶剂萃取法
溶剂萃取法是一种常用的羰基铑回收方法。废水中的羰基铑可以通过添加适量的萃取剂,在一定条件下与萃取剂结合,形成羰基铑-萃取剂络合物。然后通过蒸馏或其他方法,将萃取剂与羰基铑分离,最终得到纯的羰基铑。

离子交换法
离子交换法也是一种常用的羰基铑回收方法。废水中的羰基铑可以通过离子交换树脂吸附,在一定条件下,羰基铑可以与树脂上的功能基发生反应,形成络合物。然后通过洗脱等方法将羰基铑从树脂中分离出来,最终得到纯的羰基铑。

结论
羰基铑是一种重要的有机金属化合物,广泛应用于化学和医学领域。在其生产和应用过程中,需要采用有效的回收方法,避免对环境造成污染,并回收其资源价值。溶剂萃取法和离子交换法是常用的羰基铑回收方法,可以有效地回收羰基铑。
原创文章很辛苦,作者:Liuhan,如若转载,请注明出处:https://www.pzgjs.com/69565.html